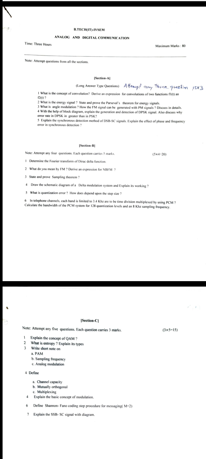
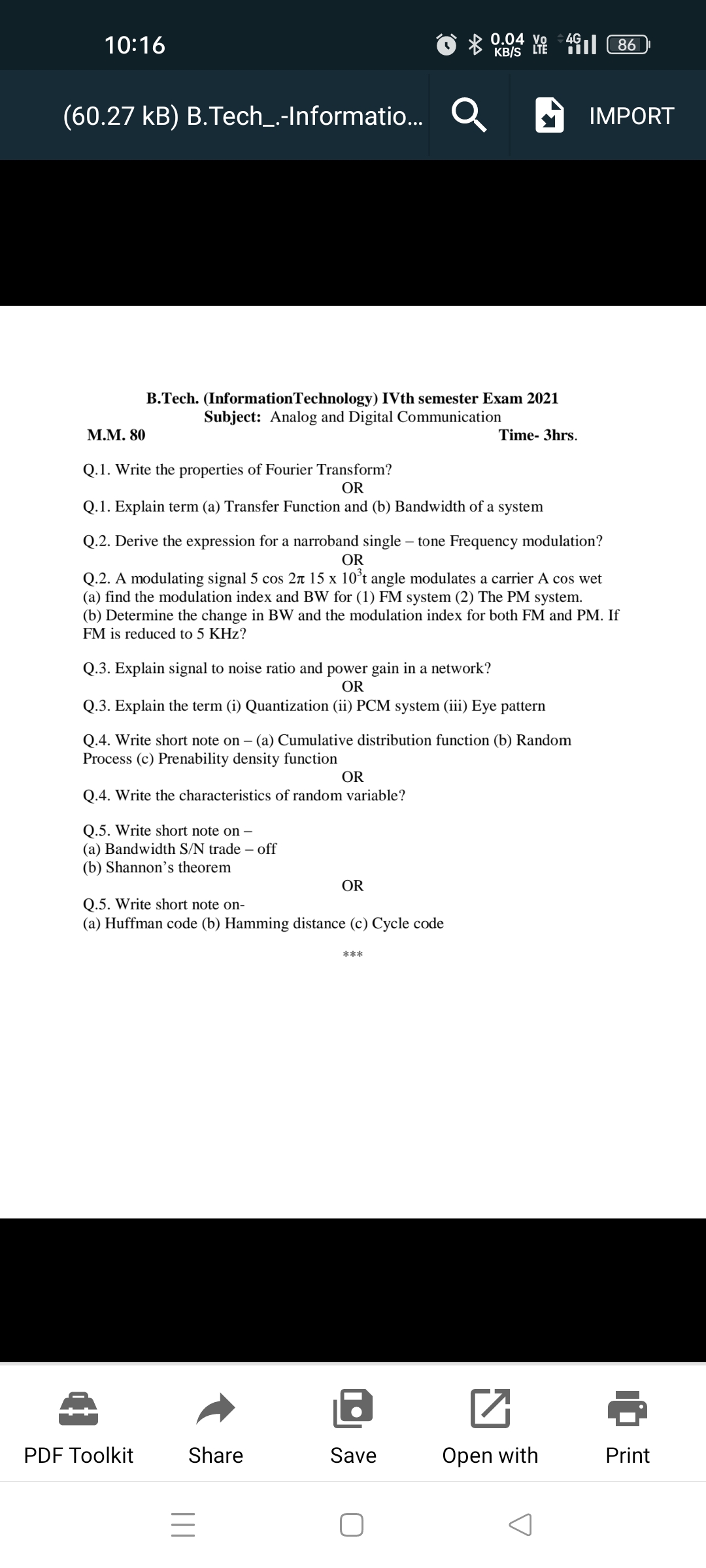
Analog and Digital Communication

ADCPYQ

Uploaded by Raj Gupta05 Dec 2025

IMG-20230325-WA0010.jpg

Open

IMG-20230327-WA0072.jpg

Open

IMG-20230327-WA0078.jpg

Open

IMG-20230327-WA0083.jpg

Open

Screenshot_2023-03-31-10-16-48-89_75372ecd1fda05c59c9af469727b3110.jpg

Open